继续教育学院
新闻动态
Channel Title
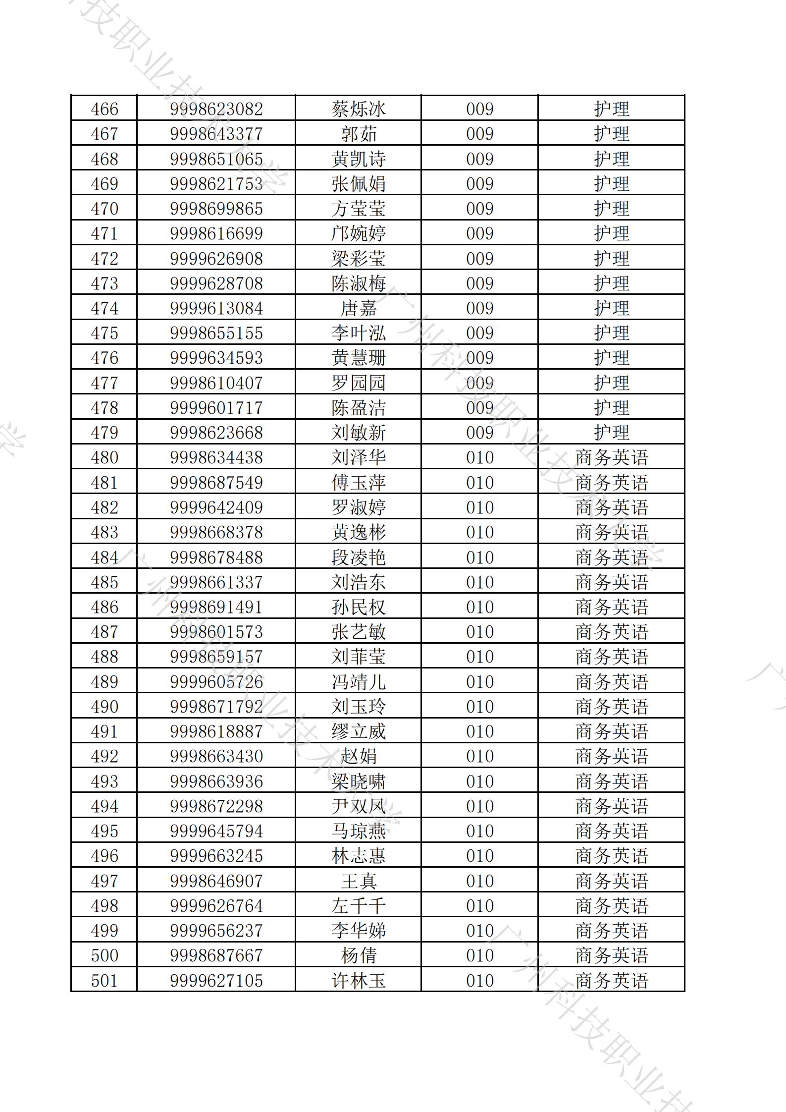
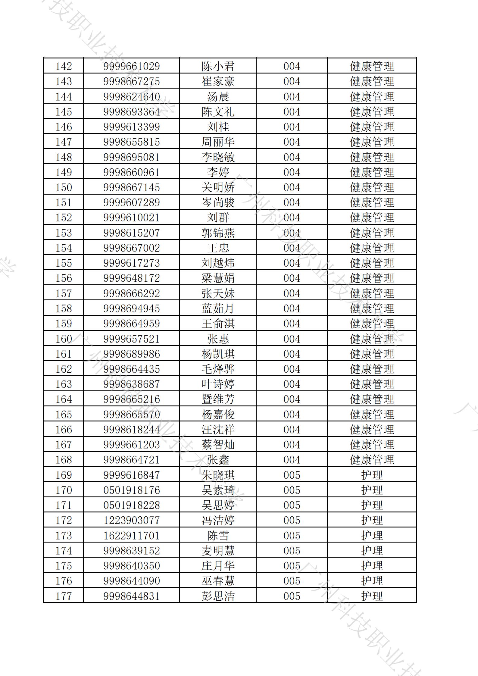
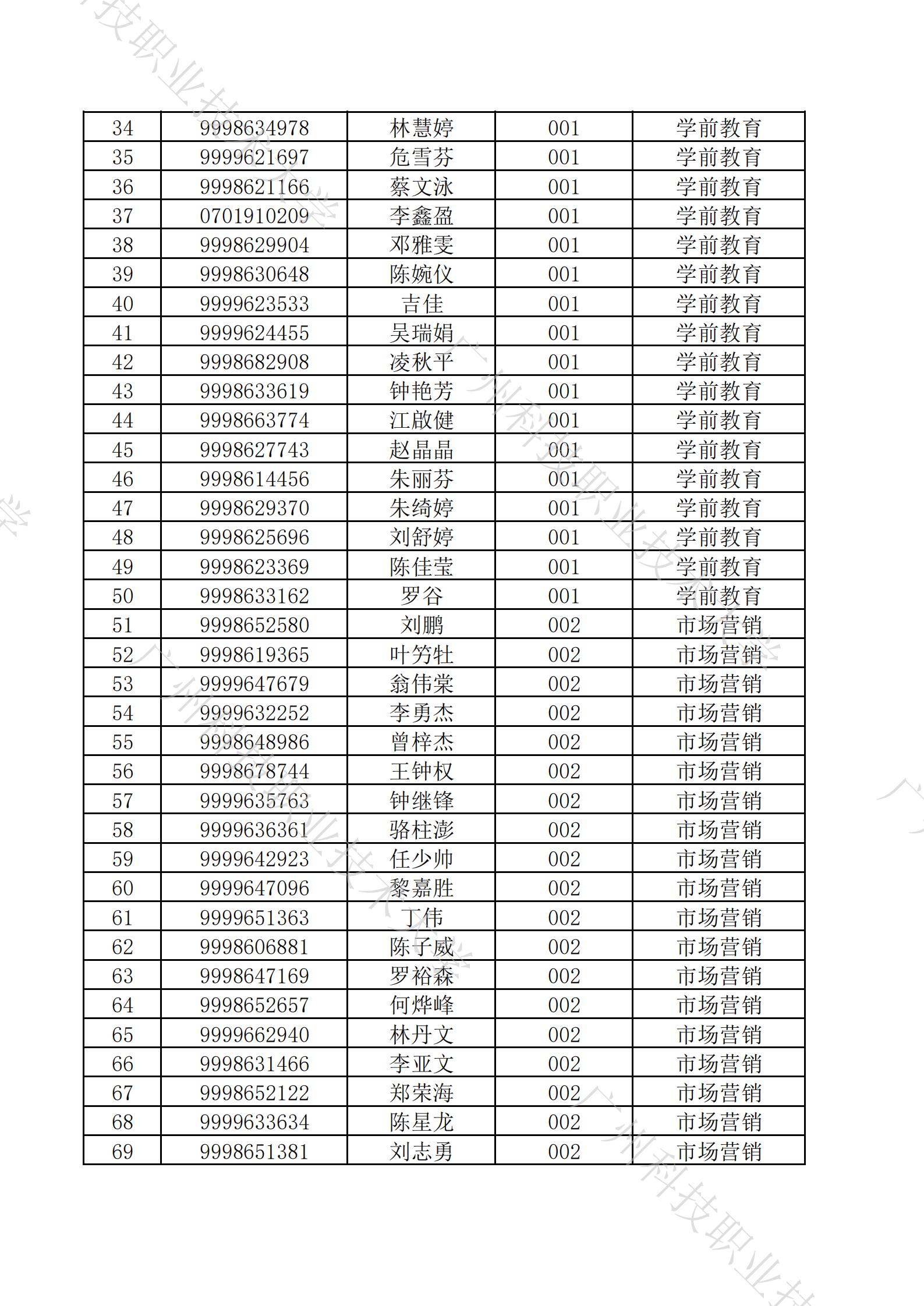
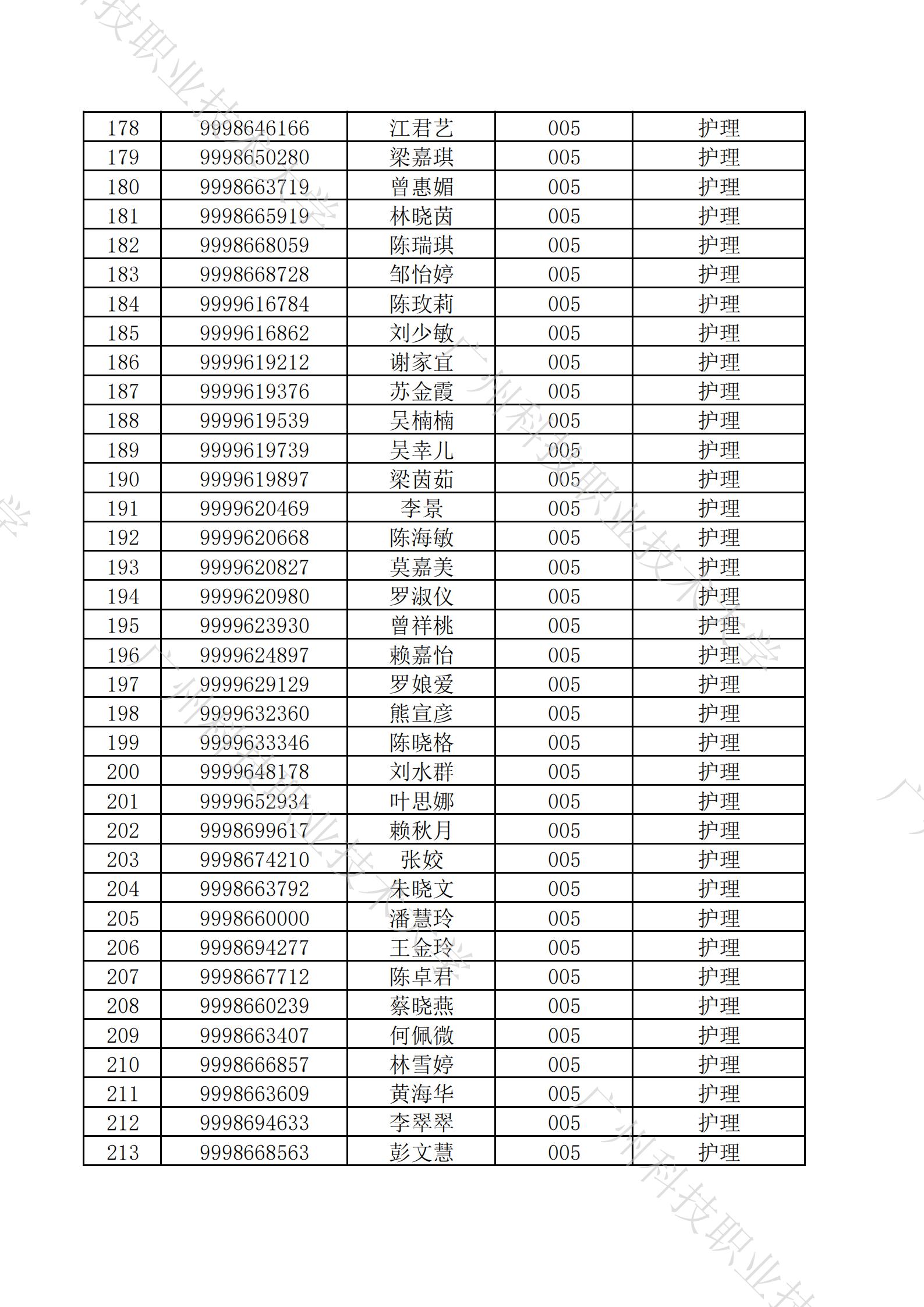
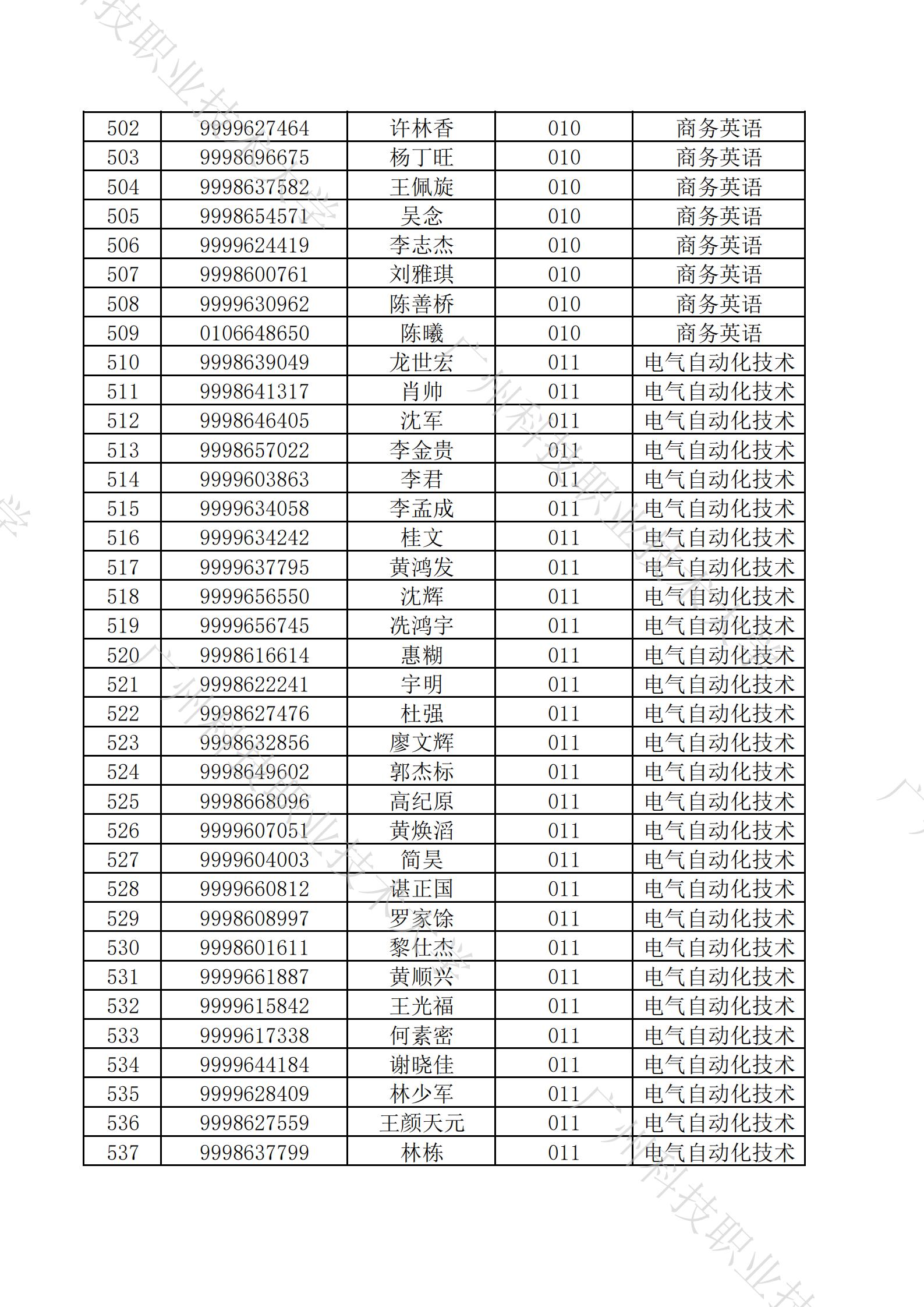
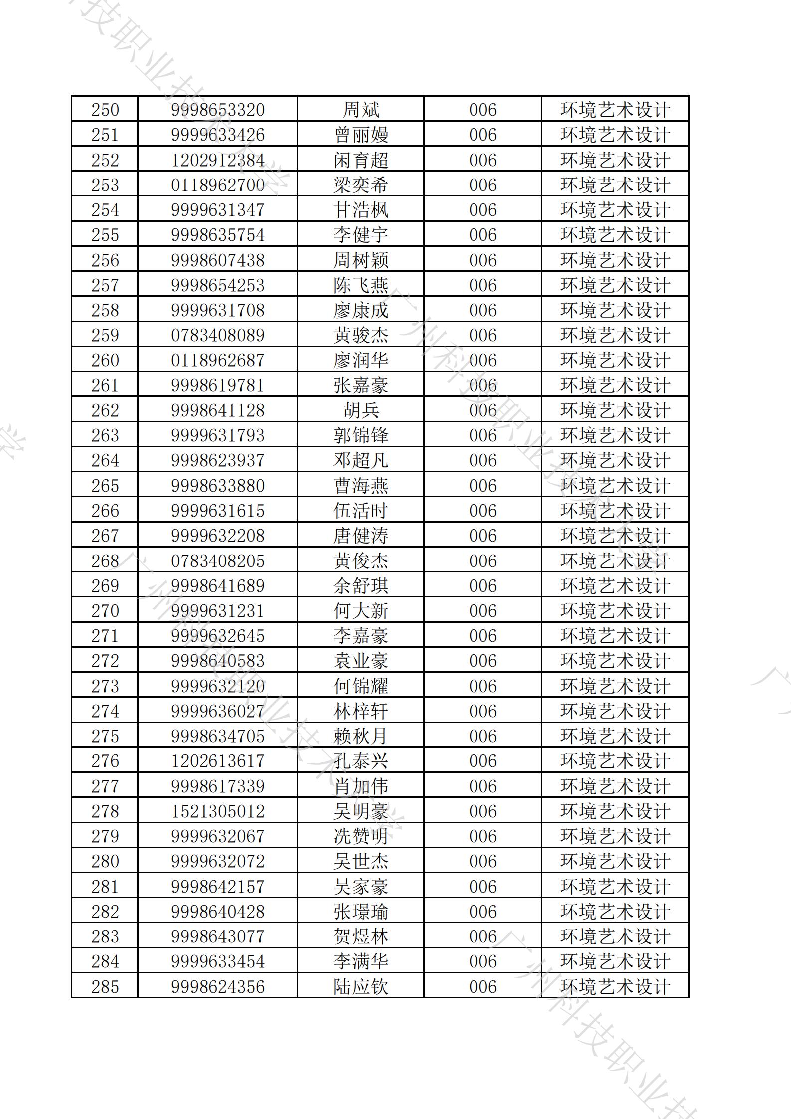
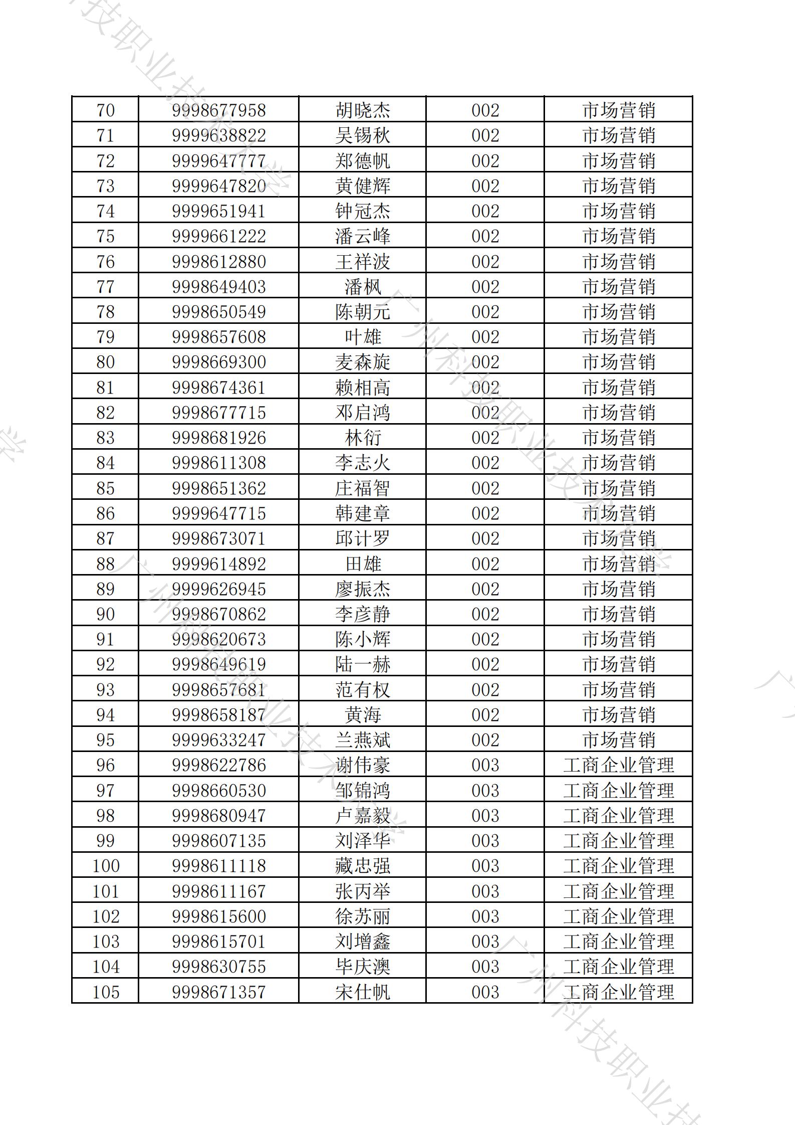
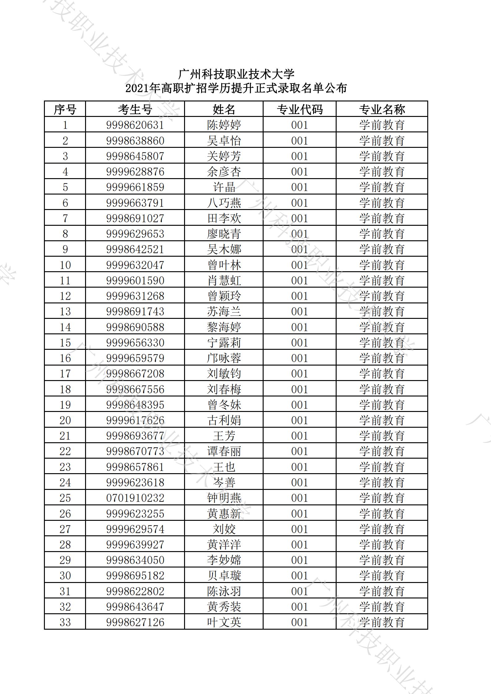
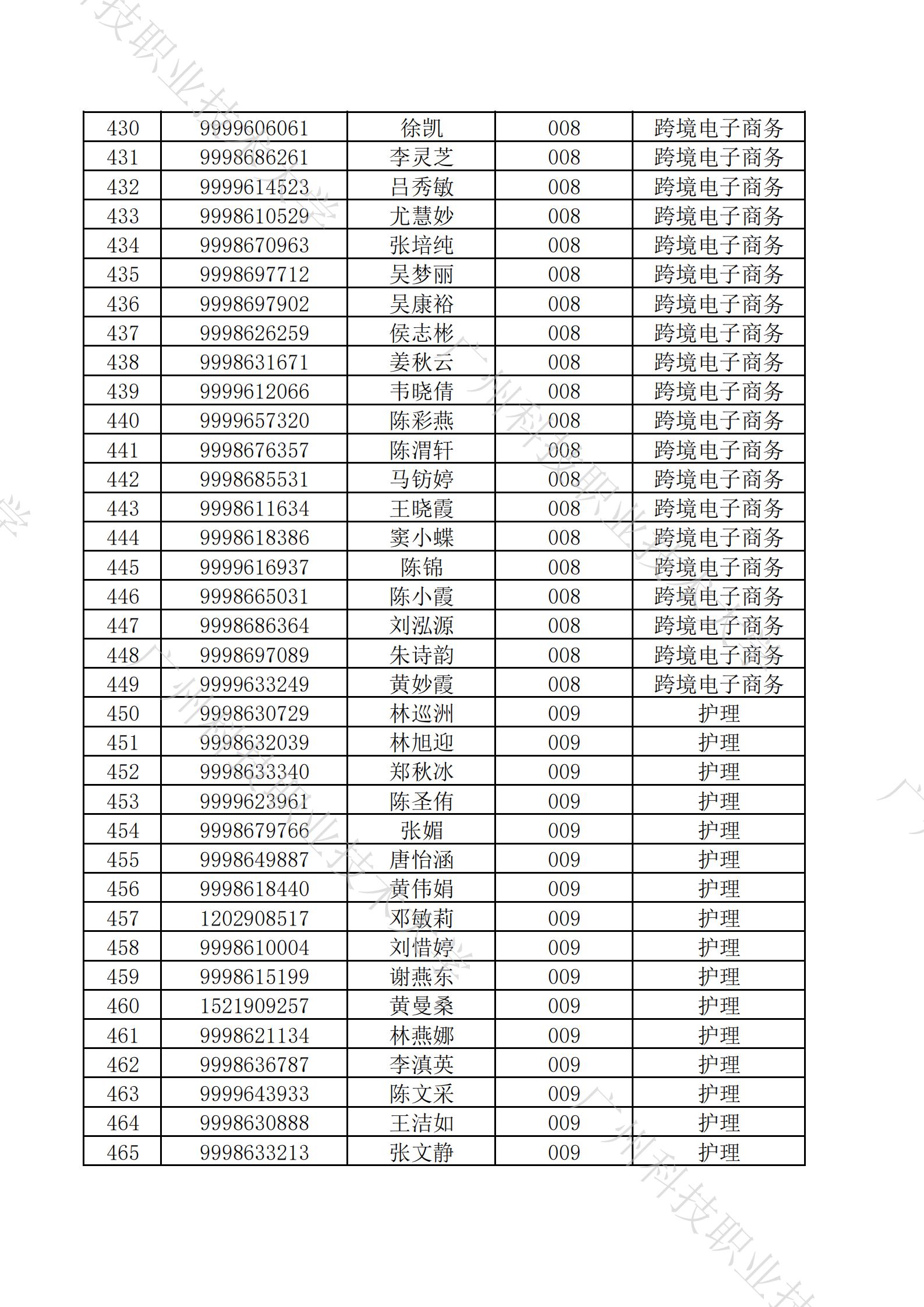
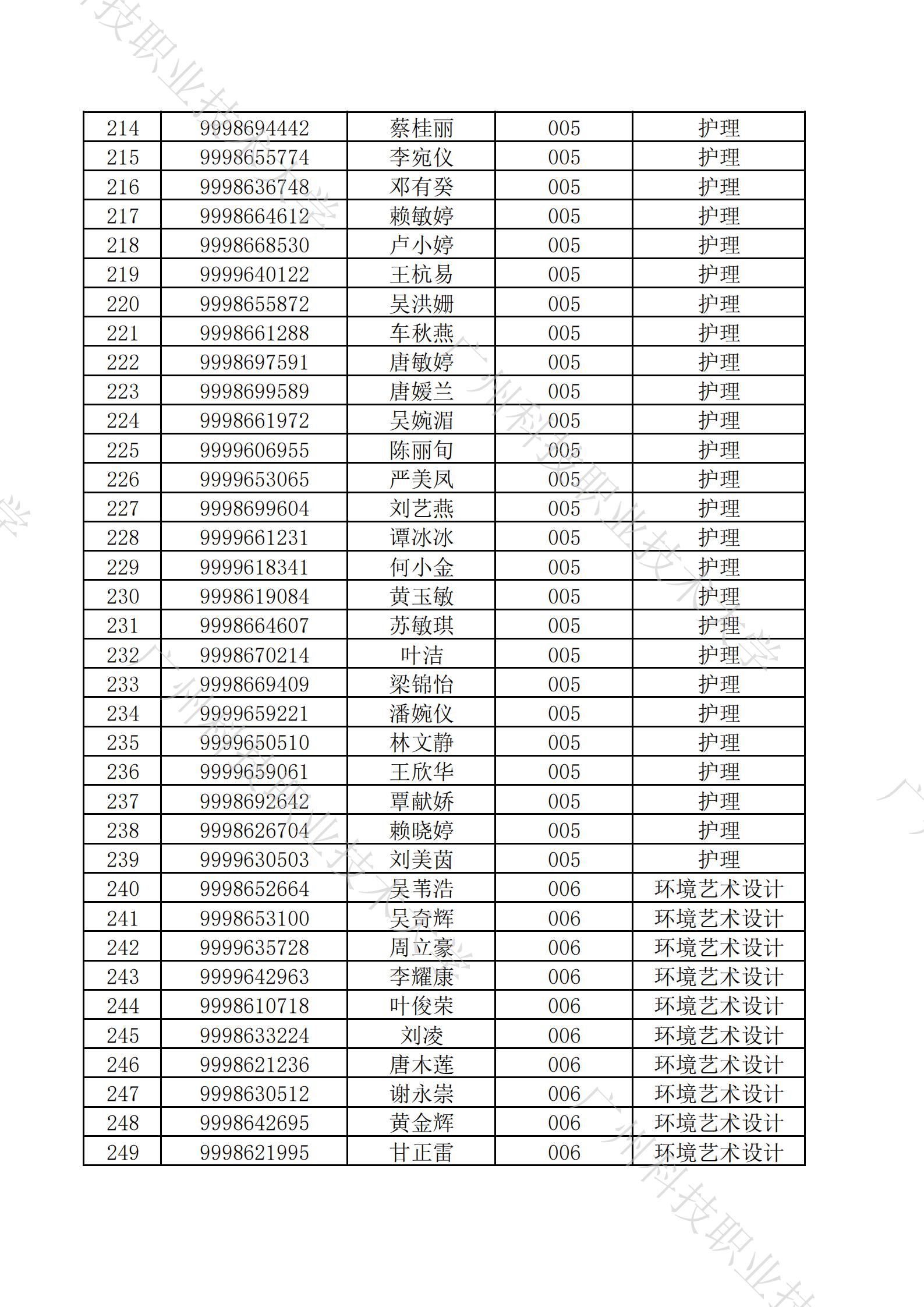
mk官方网站_MK(中国)一站式服务官网2021高职扩招学历提升正式录取名单
来源: 作者: 发布时间:2021年10月26日

关注微信号

©版权所有:mk官方网站_MK(中国)一站式服务官网

广州校区:广州市广从九路1038号滨海校区:茂名市高地智慧城慧城三街8号

粤ICP备20000181号-1 网站技术支持:品牌运营中心